
How hot is the Sun’s surface really?
by Mathias Hüfner
As Lee Smolin of the Perimeter Institute emphasizes, he sees the search for natural constants as one of the five basic tasks of physics. The theory of relativity is based on the assumption of the constancy of the speed of light and quantum theory is based on the assumption of the constancy of Planck’s constant. These are considered the fundamental axioms of modern physics. In academic circles, challenging these two dogmas is considered sacrilegious because it undermines the foundations of modern physics and, with it, the worldview it has created. The central starting point for the development of modern physics is Planck’s radiation law, which contains both constants. Values for this law have been established in the literature. However, realistic physics requires the verification of both assumptions and the exploration of the consequences of abandoning these dogmas.
Sunspots are thought to be caused by disturbances in convection, which make the affected areas “cooler” — approximately 3,000 – 4,500 °C instead of 5,700 °C — and therefore appear darker. However, this contradicts the second law of thermodynamics, since sunspots appear sporadically within a few hours and can persist for weeks.
We cannot directly measure the surface temperature of the Sun, so we rely on Planck’s radiation law, which was derived from ideal gas laws by Max Planck at the turn of the 20th century. Through a clever interpolation between the Rayleigh-Jeans law (correct for long wavelengths) and Wien’s radiation law (correct for short wavelengths), he was able to derive his radiation law, which is intended to represent the emitted radiation in all wavelength ranges.
It is based on the narrative of the constancy of the speed of light c and a constant h, the quantum of action with the unit joule/second, which Planck specifically introduced. This h divided by 2π is generally interpreted as the angular momentum of the electron. The idea that the speed of light is a constant is thanks to the idea of Albert Einstein, who developed his theory of relativity in 1905 under the assumption that the speed of light was constant. He needed a steady projection center for his projective Lorentz transformation.
According to Einstein’s theory, the angle of deflection of light at the edge of the Sun, allegedly caused by gravity, is about 1.75 arcseconds.1 If this theoretical deflection of light is treated like refraction in the Sun’s atmosphere, one could define an effective refractive index. Near the edge of the Sun, this effective index would be roughly on the order of 1 + 4GM/(c²R), where G is the gravitational constant, M is the Sun’s mass, c is the speed of light, and R is the Sun’s radius. This results in a value of approximately n = 1.00000425 and a reduction in the speed of light to 299792458 m/s / 1.00000425 = 299,791,183 m/s. However, as Paul Marmet2 reported, the redshift of the lines near the edge of the Sun is greater than the value predicted by relativity. As the density of the solar plasma increases in deeper layers, the speed of light should continue to decrease.
Thus, Einstein’s followers these days prefer to warp space for light diffraction rather than acknowledge that the speed of light is a material constant that depends on the electromagnetic properties of cosmic plasma, as Wilhelm Weber and Rudolf Kohlrausch discovered around 1856.3 Ultimately, this result inspired James Clerk Maxwell’s famous system of equations, which he published in 1864 and which Heinrich Hertz brilliantly confirmed experimentally in 1888.
There’s nothing to suggest that the physical laws that apply on Earth also hold in space. Therefore, the bending of light rays in the solar plasma is not due to gravity, but rather to the reduction of the speed of light in the solar atmosphere due to its optical properties, similar to what we experience on Earth. Electrons play an important role in this. This retardation is measured as the refractive index of the medium. In the static cosmos, where matter moves, we experience the spectral redshift as a reduction in the speed of light, not as a blowing up of space.4

Theories are well when they correspond to practice. Therefore, it’s necessary to subject theories to a reality check from time to time. If there’s one thing we know for sure, it’s this:
Matter is mass in motion.
Therefore, the search for constants is always also a search for the relationships and conditions under which they remain constant. Typically, this is the slope of a linear dependence, and this can change as soon as further influencing factors are present. That is the essence of the principle of relativity.
Figure 1 shows the solar spectrum with an intensity maximum of about 2000 W/m² per mm wavelength range and monochromatic absorption lines. This intensity maximum is based on extraterrestrial measurements and is intended to be our constant reference value in the Planck curve. The Planck curve is influenced in height and maximum position of intensity by several factors, such as temperature, the speed of light, and the quantum of action. Anyone who works in optical instrumentation will confirm that the speed of light is not a constant of nature. On the other hand, we know of no faster propagation speed than that of electromagnetic waves.

The mystery surrounding Planck’s constant is greater because the entire field of quantum mechanics is built on the constancy of this quantity. Figure 3 shows the Planck radiation curve for thermal radiation with both standard constants h and c, as published by Max Planck in 1900. The values for h and c were established later. Since 1983, c = 299,792,458 m/s has been fixed by definition. With the redefinition of the SI units in 2019, both constants, h and c, were defined as exact, making the units accurate to the second and universally traceable.
But where does this quantity h come from? Academics at the beginning of the 20th century were surprised that the energy supply for oscillating systems could not be continuous, but only at specific oscillation states. Clockmakers had known this centuries earlier. The first wheel clocks can be traced back to the early Middle Ages. The transition from the horizontal verge escapement to the return-action anchor escapement of a pendulum was a major advance in timekeeping. Thus, the driving force is supplied to the pendulum quantum by quantum via the anchor. The pendulum’s rate is set by its mass and length.

Upon transition to the microworld, the scaling changes, but the mechanical relationships remain unchanged due to the similarity relationships. However, the translational energy of the electron is not taken into account in quantum theory, as it is compensated for in measurements in the opposing field. The rotational energy is given by Erot = ∫ Θ ω dω, which is ½ Θ ω², where ω is the angular frequency and Θ is the moment of inertia.
This can also be written as follows: Erot = ½ Θ ω ω. Quantum mechanicians use the expression E = h ν, where h = ½Θ ω due to the law of conservation of energy.
The moment of inertia Θ is a function of the mass distribution and the square of the distance from the pivot point. It is therefore a bold claim that a quantum of action is a constant, because it depends on what is oscillating and how far the distance is from the pivot point. If you read Planck’s original writings, you will find no indication of what is oscillating. He only speaks of resonators that are small compared to the wavelength, which contradicts the requirements for a Hertzian resonator. Since atoms consist of a shell and a nucleus, one can assume that both components have different resonances. We observe a broadband spectrum of thermal radiation, as described by Max Planck, and a monochromatic radiation from the atomic shells of gases and vapors in the plasma state. Planck’s constant is a quantity that contains both radiation components, since the phase transition from the gas phase to the plasma phase cannot be tied to a specific temperature.
In his 1905 Nobel Essay, “Über einen die Erzeugung und Verwandlung des Lichtes betreffenden heuristischen Gesichtspunkt,” Albert Einstein distinguishes thermal radiation from monochromatic radiation.5 He writes:
In a space enclosed by perfectly reflecting walls, there are many gas molecules and electrons (plasma), which are freely mobile and exert conservative forces on each other.
And:
According to the current view of the origin of light, the radiation in the space under consideration, which is found based on Maxwell’s theory for the case of dynamic equilibrium, should be identical with the “black radiation” (thermal radiation) – at least if resonators of all frequencies under consideration are considered to be present.

It was believed then, and is still widely believed today, that the observed monochromatic radiation from gases and vapors originates from broadband blackbody radiation. Einstein contradicted this idea with his description of the photoelectric effect. In §2 he concludes: “…that the blackbody theory is more useful the greater the energy density and the wavelength, but for small energies and short waves the theory fails completely.” In the following section, he discusses monochromatic radiation that can release electrons from metal surfaces. He believes that instead of momentum transfer between atoms, independently moving particles (photons) impact the metal surface. When a photocathode is irradiated with light, electrons bound in the cathode material are knocked out of the cathode because the light pulse behaves like a tsunami under sudden deceleration, interacting with the electrons in the cathode. On its way from the transmitter to the receiver, the pulse is imperceptible. The decelerated momentum is distributed evenly among the electrons in the uppermost layer of the cathode and is proportional to the frequency ν of the light. Its energy is given by h·ν. Part of the energy is used to perform the electron’s detachment work WA to release the rotating electron from the cathode.
The electron receives the remainder as kinetic energy Wkin.
The energy balance is therefore h·ν =WA + Wkin .

This means that a measurement of the kinetic energy or the speed of the electrons for different frequencies of light would yield a linear relationship between Wkin and ν, which could be used to determine h. Wkin plotted as a function of ν is a straight line with the slope h and the intercept – WA. But why should the slope always be the same? This is not clear from the above equation.
Let us consider the electron’s Wkin as a torus model6 in motion, (Figure 5), we must note that this energy is composed of three components: a translational senergy, a rotational energy and a displacement work for the conservation of angular momentum, because electrons move on helical orbits whose slopes can vary, as Klaus Gebler has described.7
It also holds that:

This means that…

If one were formally set ω = c, one would obtain the expression,

…which is reminiscent of the inverse of the Lorentz factor in the theory of relativity, but is physically questionable, because then vtrans would have to disappear because of (1). The “cold” radiation has a limit in the infrared range when no electric field is accelerating the electrons. Acceleration in the electric field reduces the diameter of the torus, disrupting the integer oscillation ratio of p and q in the torus8 and causing the circuit to briefly collapse. This results in the emission of a monochromatic electromagnetic wave of length 2πr.
Additionally, there is thermal energy is converted into heat radiation by the unspecified Planck resonator. According to Hertz, the resonator lengths must be λ/2, which only allows the conclusion that there must be vibrating atom chains in a melt, similar to what Dr. Gerald Pollack observed in water. Experiments to confirm such a classical atomic theory are long overdue, but probably not desired.
Experimental determination of Planck’s constant
An insight into the pitfalls of the experiment is provided, for example, by the instructions for9 the “Photoelectric Effect” experiment in the physics beginners’ practical course at Heidelberg University.10
The problem is measuring Wkin. In the vacuum photocell, the photocathode is opposed by a (ring-shaped) anode, which is itself not illuminated. The electrons released by the light in the cathode strike the anode and offset its positive charge until the electric field between the cathode and anode prevents further charging. At this point, even the fastest electrons escaping from the cathode can no longer reach the anode. The kinetic energy of these electrons has been completely converted into potential energy. This means that Wkin is equal to the potential difference U between the two electrodes multiplied by the elementary charge. The problem of measuring Wkin thus shifts to the measuring problem of the voltage U between the cathode and anode. Two measurement methods are described by an anonymous author: the opposing field method and the charging method.11
- The charging method: A voltage is generated during charge separation. In a photocell, the amount of charge generated by the photoelectric effect is infinitesimal. The voltage generated between the cathode and anode can therefore only be measured with a device with a very high input resistance. The charge must never flow away faster than it flows in through the photoelectric effect. The input resistance should be on the order of 10 TΩ = 1013 Ω.
- The opposing field method: The opposing field method does not require a measuring device with such a high input resistance, but does require measuring the photocurrent, i.e., the current of electrons that are knocked out of the cathode and flow to the anode. To get this, the anode and cathode of the photocell are connected via a moderately large resistor (approximately 1 MΩ), so that the two electrodes are essentially short-circuited. The voltage drop across this resistor is proportional to the strength of the photocurrent. The voltage appearing across the resistor is amplified and displayed. Because of the low-resistance connection between cathode and anode, the anode no longer charges “on its own” to the voltage U that would cause the photocurrent to stop. Therefore, the anode is “artificially” set to the potential eU by an external voltage source, which makes the photocurrent zero (the negative pole of the voltage source is connected to the anode, so that the photoelectrons must run against it).
Using the opposing field method and a mercury vapor lamp with an interference filter, the anonymous author measured h to be (5.30 ± 1.12) 10-34 Js.
He reports additional measurements using the opposing field method, with a Phywe photocell (No. 6776), Hg lamp, and interference filters at 578 ± 12 nm, 540 ± 15 nm, and 440 ± 13 nm (519 ± 10 THz, 556 ± 15 THz, and 681 ± 20 THz). He lists the following values of h in Table 1:

The errors were calculated using standard error calculation methods from the scatter of the measurement points around the best-fit line. The worst-case error was 28% (measurement taken on October 19, 1979). The values themselves are all systematically smaller than the literature value (6.626 10-34 Js). The anonymous author could not explain the systematic deviation from the literature value.
Table 2 shows the measurements using the charging method. Neva photocell (No. 6791-1088), mercury lamp, lines separated with an optical grating or (Amici) prism, and focused on the photocell. Shielding against stray light.

With the charging method, the deviations from the literature value are even more pronounced.
One explanation for the deviation may be that h is an average value across all resonators, both the electron shells and atoms and molecules as a whole, which are not a single type of resonator, as Einstein already pointed out in his Nobel Prize essay. However, the photoelectric effect does not refer to broadband thermal radiation, but rather to the monochromatic radiation from the atomic shell, as described in the essay The Vortex Atom, a Forgotten Theory?12 By combining both resonator types, the slope between voltage and frequency is reduced because the proportion of resonances with atoms and molecules decreases due to their greater mass. Another explanation would be that the measurements presented only consider the translational energy component.
Figure 6 shows the effect of a smaller quantum of action while maintaining the literature value of the speed of light. The brighter curve is normalized to the measured light intensity, and the darker curve corresponds to the actual conditions. The consequence is a lower thermal radiation. According to Wien’s displacement law, we would get 5,796 K. With a reduced constant, we get 5,605 K.

If we also consider the reduction in the speed of light in the Sun’s plasma, the temperature is reduced even further. The “relativistic” value was converted into a refractive index above. The refractive index is given by…

where ε is the permittivity and μ is the permeability. We do not know the refractive index of the Sun’s atmosphere near the surface, but due to the magnetic activity there, we can assume values greater than 1. High permeability is to be expected, especially in sunspots, which leads to a significant cooling of the surface. A hypothetical refractive index greater than 1 means a reduction in the speed of light, as shown in Figure 7 for a standard value of h. The brighter curve is normalized to the measured light intensity, and the darker curve corresponds to the actual conditions.

Figure 7: Variation of the Sun’s Planck curve taking into account the reduced speed of light – calculated with GeoGebra
Even if no exact data on the refractive index and the ratio of the two resonator components at specific radiation temperatures can be presented, a heuristic picture shows that the surface temperature of the sun is significantly lower than assumed according to Planck’s radiation law with the established literature values of the speed of light and resonator effect.
The Planck radiation curve implicitly assumes that all metals exhibit a glowing phase like carbon. The glowing phase refers to a temperature range in which the structure of the metal changes (recrystallization). It becomes denser. However, not all metals exhibit a classical annealing phase and do not react in the same way.
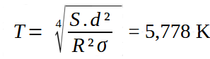
Since the radiant power fluctuates by less than 0.1 percent over the eleven-year sunspot cycle, and the solar constant can be measured outside the atmosphere with the VIRGO1 radiometer on the SOHO satellite, it is currently approximately 1361 W/m². We multiply the solar constant S by the spherical surface area of the Earth-Sun distance d to obtain the radiated power of the Sun. We equate this with the Stephan-Boltzmann law and solve for the temperature in the equation below to = 5,778 K

using the Stephan-Boltzmann constant σ. The difference to Planck’s radiation law with standard values (Figure 3) of h and c is 19.4%. The deviation from Wien’s displacement law, however, is only 0.3%. Which temperature value is more trustworthy?
Conclusions
Theorists often forget that physics operates with relations, not numbers. Relations are inherently relative, something a mathematical equation cannot capture. Spectroscopists know: The Sun is not a lightening sphere of gas, for then it would radiate mono-chromatically, but rather a molten mass composed of a mixture of calcium and other elements identified by Fraunhofer, as can be seen from the spectral class G2V and Figure 8. Calcium has a glow phase, as do several other metals and carbon, as a result of recrystallization of atomic grains. This molten mass produces the broadband thermal radiation spectrum, while the metallic vapors in the sun’s atmosphere produce the characteristic monochromatic Fraunhofer lines. These are two different types of resonators made of two different material phases. Thermal radiation results from vibrations of groups of atoms and monochromatic radiation is generated by electrons. Treating both types of radiation equally leads to distorted results.

Under pressure, such as that found on the Sun, calcium exhibits the properties of a superconductor and far surpasses other elements in these parameters, which influences the transmittance of the sun’s surface and increases the refractive index. In sunspots, the light intensity drops to about 30%. To achieve a 30% reduction in radiation intensity, both h and c in sunspots must be reduced, because heat tends to be distributed evenly throughout a melting mass. It contradicts the second law of thermodynamics that certain local areas suddenly cool down sporadically.
We have seen that many influencing factors can act in a plasma that is foreign to us. We should not be so quick to establish natural constants and build theories on them that are supposed to underpin our worldview before we know more about the dynamic relationships in nature.
The assumption of constancy of size combinations does not show the underlying physical processes. — Klaus Gebler
Footnotes
- A. Einstein – Die Grundlagen der Allgemeinen Relativitätstheorie; Annalen der Physik 1916 4. Folge , Bd49, S.822 ↩︎
- P. Marmet – Rotverschiebung von Spektrallinien in der Sonnen Chromosphäre. https://mail.newtonphysics.on.ca/chromosphere/sonne_rotverschiebung_v2.pdf ↩︎
- M. Elbel – Das Kohlrausch/Weber-Experiment http://www.physikverstehen.de/cms/upload/wege/band3/WEGE_Band3/037_Matthias Elbel.pdf ↩︎
- M. Hüfner – Is the Cosmos Static or Is It Expanding? – The Thunderbolts Project™ ↩︎
- A. Einstein- Über einen die Erzeugung und Verwandlung des Lichtes betreffenden heuristischen Gesichtspunkt. Annalen der Physik S.132 ff; 1905 ↩︎
- M. Hüfner – The Vortex Atom, a Forgotten Theory? – The Thunderbolts Project™ ↩︎
- K. Gebler – 5.Vis viva, die Lebendige Kraft: Was ist kinetische Energie? in Die übersehene Rotation, 2024 S.11-15 Hersteller: digishop@rotec-cottbus.deis ↩︎
- M. Hüfner – The Vortex Atom, a Forgotten Theory? – The Thunderbolts Project™ ↩︎
- G. Pollack – The Fourth Phase of Water, Ebner & Sons Publishers, Seatle 2013 ISBN 978-0-9626895-3-6 ↩︎
- Versuch Fotoeffekt, physikalisches Anfängerpraktikums der Universität Heidelberg, www.physi.uni/heidelberg.de/Einrichtungen/AP/Elearning/…/35_Fotoeffekt.pdf ↩︎
- Anonym vielleicht Stefan Theisen ? – Lichtelektrischer Effekt – Messung der Planckschen Konstanten ; http://theissenonline.de/Physik/Fotoeffekt.pdf ↩︎
- M. Hüfner – The Vortex Atom, a Forgotten Theory? – The Thunderbolts Project™ ↩︎

Dr. Mathias Hüfner is a German translator volunteer for The Thunderbolts Project. He studied physics from 1964 until 1970 in Leipzig Germany, specializing in analytical measurement technology for radioactive isotopes. He then worked at Carl Zeiss Jena until 1978 on the development of laser microscope spectral analysis. There he was responsible for software development for the evaluation of the spectral data. Later he did his doctorate at the Friedrich Schiller University in the field of engineering and worked there 15 years as a scientific assistant. Some years after the change in East Germany, he worked as a freelance computer science teacher the last few years before his retirement.

Since 2015, Mathias has run a German website of The Thunderbolts Project http://mugglebibliothek.de/EU.
His latest book is entitled Dynamic Structures in an Open Cosmos.
The ideas expressed in Thunderblogs do not necessarily express the views of T-Bolts Group Inc. or The Thunderbolts Project.





